Microgels based on thermally responsive polymers have been widely investigated in the context of controlled release applications. A challenge is to target the release of active ingredients while the bioavailability is maintained, thus preventing the premature degradation of the drug. Recently, the group of Prof. Hellweg at Bielefeld University has published a study on acrylamide-based, thermo-responsive hydrogels, where the uptake of the drug β-aescin is performed in the swollen state and the release is triggered by heating the system above the transition temperature. Dynamic Light Scattering, and specifically the 3D LS Spectrometer played a key role in the characterization of these innovative systems. Read the full article here!
DLS Microviscometry of Protein Solutions: the latest LSI webinar is available online
Are you interested in the injectability of protein solutions, the shelf life or are you just curious to learn about a new technique? DLS microviscometry, as implemented in the NanoLab 3D, allows you to obtain the zero-shear viscosity of concentrated protein solutions reliably and with a sample volume of only 4 μL.
If you missed this webinar last month, you can now view it here!
Webinar - Protein solution microviscosimetry with the NanoLab 3D
Drug delivery by smart microgels - Webinar: DLS Microviscometry of Protein Solutions
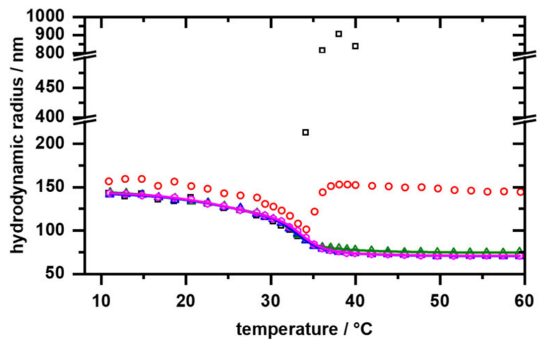
Microgels based on thermally responsive polymers have been widely investigated in the context of controlled release applications. A challenge is to target the release of active ingredients while the bioavailability is maintained, thus preventing the premature degradation of the drug. Recently, the group of Prof. Hellweg at Bielefeld University has published a study on acrylamide-based, thermo-responsive hydrogels, where the uptake of the drug β-aescin is performed in the swollen state and the release is triggered by heating the system above the transition temperature. Dynamic Light Scattering, and specifically the 3D LS Spectrometer played a key role in the characterization of these innovative systems. Read the full article here!
The 3D LS Spectrometer features an option for automated temperature control with stability greater than 0.02°. This allows to precisely monitor the behavior of complex systems. In this example, one can assess the collapse of PNIPAM microgels (triggering the release of aescin), or the aggregation of the microgels (red and black data points) when the drug was added in an insufficient amount.
Dirksen et al., Smart microgels as drug delivery vehicles for the natural drug
aescin: uptake, release and interactions, Colloid and Polymer Science (2020) 298:505–518
Are you interested in the injectability of protein solutions, the shelf life or are you just curious to learn about a new technique? DLS microviscometry, as implemented in the NanoLab 3D, allows you to obtain the zero-shear viscosity of concentrated protein solutions reliably and with a sample volume of only 4 μL.
If you missed this webinar last month, you can now view it here!
Related products
LS Spectrometer II
NanoLab 3D
Partner
LS Instruments
Related categories
Dynamic Light Scattering - DLS